2019년 공무원 봉급표 2019 군인 월급 19년 교사 호봉표
1. 도입부
2019년은 많은 공무원, 군인, 교사들에게 중요한 해였습니다. 매년 정부는 공무원과 군인, 교사의 봉급을 조정하며 이들의 근로 조건을 개선하려는 노력을 기울이고 있습니다. 2019년 역시 예외는 아니었으며, 다양한 인상과 조정이 이루어졌습니다. 이 포스팅에서는 2019년 공무원 봉급표, 군인 월급, 그리고 교사 호봉표를 상세히 분석하여, 각 직군의 급여 체계와 변화의 내용을 알아보겠습니다.










2. 2019년 공무원 봉급표
2019년 공무원 봉급표는 기본급과 수당, 각종 보너스 등을 포함하여 다층적인 구조를 가지고 있습니다. 공무원의 급여는 직급과 경력에 따라 차등 지급되며, 정기적인 인상률이 적용됩니다. 2019년에는 공무원 급여가 일부 인상되었으며, 이는 정부의 정책과 경제 상황에 따라 조정된 결과입니다.
공무원 기본급
2019년에는 공무원 기본급이 약간 인상되었습니다. 기본급 인상은 공무원들의 생활 안정과 복지 향상을 목표로 하며, 정부는 물가 상승률과 경제 성장률을 고려하여 인상률을 결정합니다. 예를 들어, 9급 공무원의 월 기본급은 약 1,700,000원이었으며, 5급 공무원의 경우 약 3,000,000원이었습니다.
수당 및 보너스
공무원들은 기본급 외에도 다양한 수당과 보너스를 받습니다. 2019년에는 교통비, 식비, 야근 수당 등이 조정되었습니다. 또한, 특정 직무를 수행하는 공무원들에게는 별도의 보너스가 지급되며, 이는 공무원의 업무 성격에 따라 달라집니다.
3. 2019년 군인 월급
군인의 월급은 군 복무의 중요성과 특수성을 반영하여 지급됩니다. 2019년 군인 월급 역시 정부의 예산과 정책에 따라 조정되었습니다. 군인의 급여는 계급과 복무 기간에 따라 차등 지급되며, 기본급 외에도 다양한 수당이 포함됩니다.
군인 기본급
2019년 군인의 기본급은 군인들의 복지 향상을 위해 인상되었습니다. 예를 들어, 이병의 기본급은 약 200,000원이었으며, 상병은 약 300,000원, 병장은 약 400,000원으로 책정되었습니다. 이러한 기본급 인상은 군인들의 생활 여건을 개선하려는 정부의 노력의 일환입니다.
군인 수당
군인들은 기본급 외에도 다양한 수당을 받습니다. 2019년에는 병사 수당, 장병 보상금 등이 조정되었으며, 이는 군 복무의 특수성과 어려움을 반영한 결과입니다. 또한, 특정 지역에서 복무하는 군인들에게는 지역 수당이 추가로 지급됩니다.
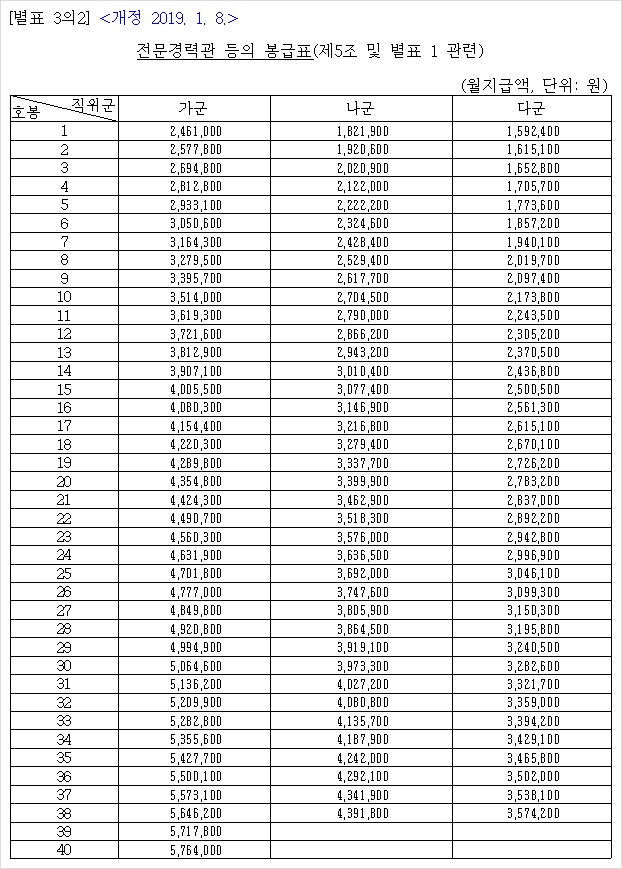
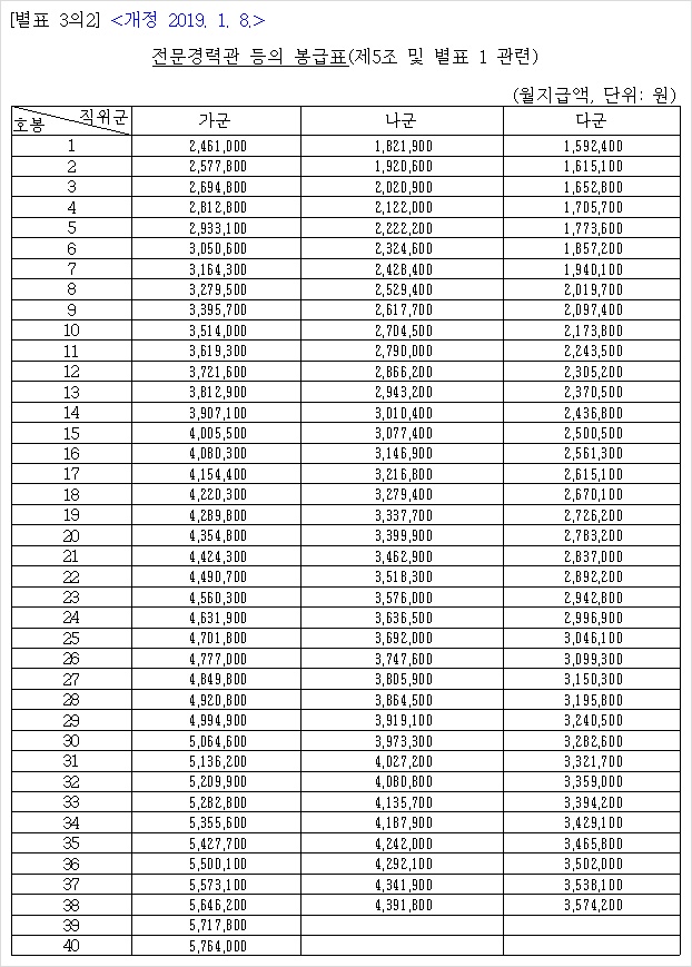
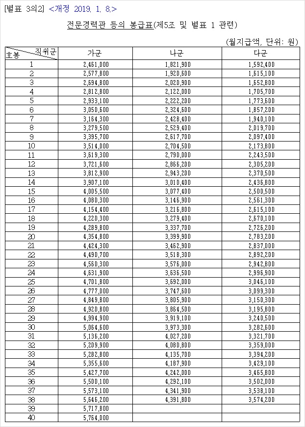
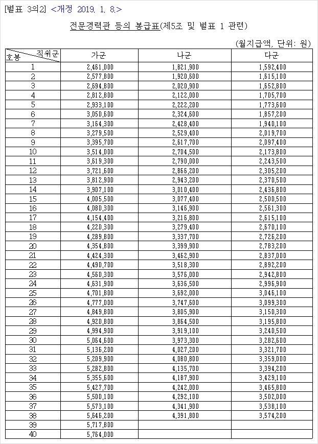
4. 2019년 교사 호봉표
교사의 급여는 호봉제에 따라 지급되며, 경력에 따라 급여가 증가합니다. 2019년 교사 호봉표는 교사의 교육 경력과 학문적 성과를 반영하여 설정되었습니다.
교사 호봉
2019년 교사 호봉표는 다음과 같은 구조를 가지고 있습니다:
- 1호봉: 신규 교사로서 약 2,000,000원의 월급이 지급됩니다.
- 10호봉: 교육 경력이 10년 이상인 교사에게는 약 3,500,000원이 지급됩니다.
- 20호봉: 20년 이상의 경력을 가진 교사는 약 5,000,000원의 월급을 받습니다.
이 외에도 교사의 직무와 지역에 따라 추가적인 수당과 보너스가 지급됩니다. 호봉제는 교사의 경력을 반영하여 급여를 책정하며, 경력에 따라 안정적인 급여 상승을 보장합니다.
5. 결론
2019년의 공무원, 군인, 교사 급여는 각각의 직군의 특수성과 정부의 정책에 따라 조정되었습니다. 공무원과 군인, 교사는 각자의 역할에 맞는 급여 체계를 갖추고 있으며, 이는 해당 직군의 복지 향상과 업무 만족도를 높이기 위한 노력의 일환입니다. 2019년의 급여 조정은 각 직군의 특성과 요구를 반영하여, 공무원, 군인, 교사들이 보다 나은 근무 환경에서 일할 수 있도록 하기 위한 정책적 결정이었습니다.
이러한 급여 체계의 변화는 향후 더 나은 복지 정책의 기반이 될 것이며, 각 직군의 발전과 함께 더 나은 사회를 만드는 데 기여할 것입니다. 각 직군의 세부적인 급여 조정 사항을 이해함으로써, 공무원, 군인, 교사들은 자신의 권리와 복지 수준을 보다 명확히 인식할 수 있을 것입니다.
키워드
공무원 봉급표, 2019 군인 월급, 교사 호봉표, 2019 공무원 급여, 군인 기본급, 교사 급여 인상, 2019년 군인 수당, 공무원 수당, 교사 경력 급여, 2019년 교사 급여
'공무원 봉급표 수당 규정 등' 카테고리의 다른 글
| 교사 군인 경찰 교육 공무원 정년연장 65세 추진은 언제? 공무원 연금 수령나이에 맞춰 공무원 정년퇴직나이? (0) | 2020.12.28 |
|---|---|
| 인사혁신처 2021년 공무원 월급표 2021 교원 교사 봉급표 집배원 교육 공안직공무원 호봉표 (0) | 2020.12.16 |
| 2019년 일반직 공무원 봉급표 2019 대통령연봉 (0) | 2019.09.19 |
| 석유화학주의 특징과 투자시 주의 사항 (0) | 2019.08.09 |
| 슬빵 옥바라지 닷컴 & 문래동 카이스트 특제 비빔면 레시피 (0) | 2018.07.29 |