인사혁신처 2021년 공무원 월급표 2021 교원 교사 봉급표 집배원 교육 공안직공무원 호봉표
2020년의 마지막 달이 다가오면서, 2021년의 새로운 시작을 맞이할 준비를 하는 시점입니다. 공무원 시험을 준비하는 수험생들에게는 다가오는 시험 시즌이 긴장감과 불안함을 주겠지만, 이미 합격하여 발령을 기다리는 이들에게는 기쁜 소식이 될 것입니다. 오늘, 인사혁신처는 2021년 공무원 봉급표를 발표했습니다. 이번 발표에 따르면, 공무원의 월급은 2020년에 비해 0.9% 인상되었고, 일부 직급의 봉급은 동결되었습니다. 아래에서는 각 직군별로 2021년 공무원 월급표에 대해 자세히 살펴보겠습니다.


2021년 경찰공무원 봉급표 2021 소방공무원 봉급표 예상 (1급, 2급도 인상된 걸로 계산되어 있다.)

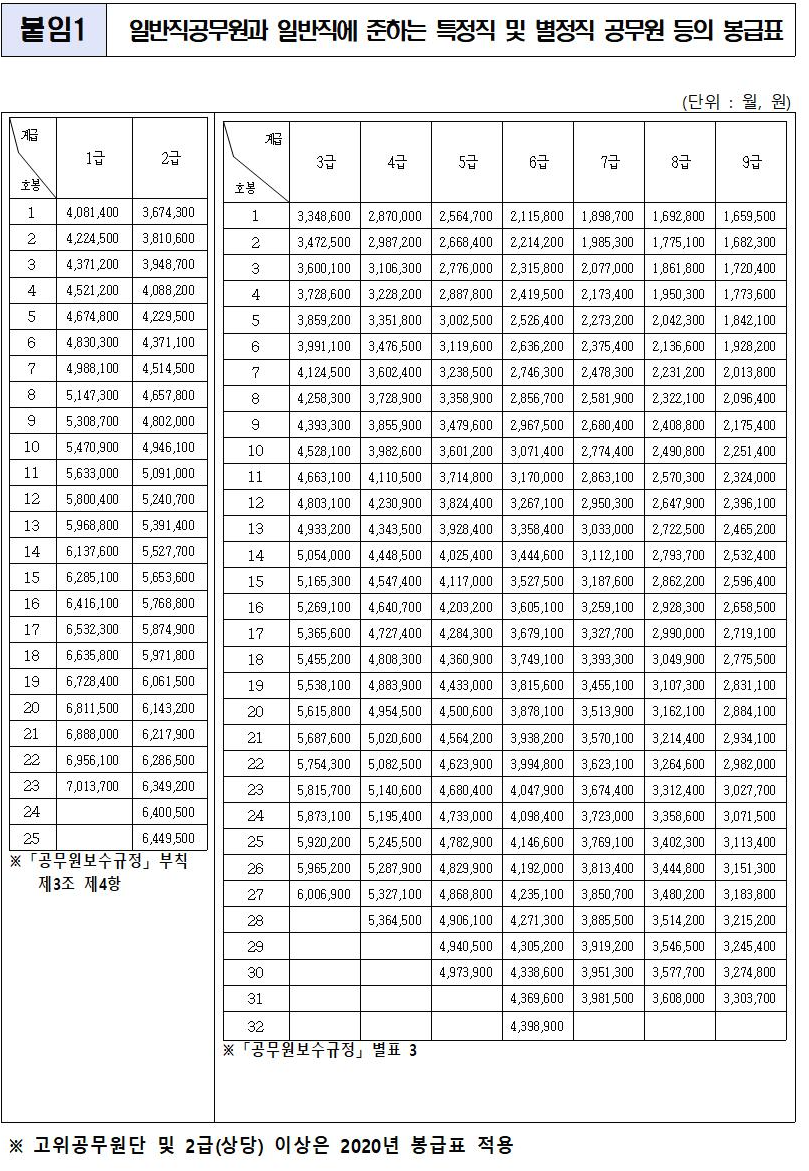
2021년 공안직공무원 봉급표

인사혁신처 2020 공안직공무원 봉급

2020 우정직 공무원 봉급표 우체국 집배원 월급
2021년 교원 봉급표 2021 교사 호봉표
교사는 계급이 없이 호봉으로만 급여표가 책정된다.

2021년 교육공무원 봉급표 2021 교원 호봉표
1. 공무원 봉급 인상 및 동결 사항
2021년 공무원 봉급표에 따르면, 전반적인 인상률은 0.9%입니다. 그러나 1급 및 2급 공무원의 봉급은 2020년 수준으로 동결되었으며, 이는 공무원들 간의 급여 불균형을 조정하기 위한 조치로 보입니다. 경찰공무원과 소방공무원도 유사한 조치를 받을 것으로 예상됩니다.
2. 경찰공무원 및 소방공무원 봉급
2021년 경찰공무원 봉급표는 1급 및 2급인 치안정감, 소방정감, 치안감, 소방감의 봉급이 2020년 수준으로 동결될 전망입니다. 이는 공무원의 봉급 정책이 일정 부분 유지된다는 것을 의미합니다. 이와 유사하게, 소방공무원 역시 2020년 수준에서 동결될 것으로 예상됩니다.
3. 공안직 공무원 봉급
공안직 공무원들의 봉급표는 아직 공식적으로 발표되지 않았습니다. 그러나 2020년 봉급표를 기준으로 할 때, 2021년 공안직 공무원의 급여도 0.9% 인상된다고 보시면 됩니다. 특히, 2급 공무원 이상의 급여는 동결되며, 이는 경제 상황에 따라 조정된 사항으로 이해할 수 있습니다.
4. 우정직 공무원 봉급
우정직 공무원, 특히 우체국 집배원들의 봉급은 2020년과 유사한 수준으로 책정됩니다. 2021년 우정직 공무원 봉급표는 여전히 2020년의 기준을 따르며, 9급 1호봉에 해당하는 공무원들의 급여는 일반직 공무원과 동일하게 책정됩니다.
5. 교원 봉급
교원의 봉급표는 계급이 아닌 호봉 제도에 의해 결정됩니다. 2021년 교원 봉급표는 호봉에 따라 급여가 책정되며, 이는 교사와 교육공무원에게 적용됩니다. 2021년 교원 호봉표를 통해 각 호봉에 따른 교사의 월급을 확인할 수 있으며, 이는 공무원 월급표와는 별도의 기준에 따릅니다.
결론
2021년의 공무원 봉급은 전반적으로 0.9% 인상된 반면, 고위직 공무원과 일부 특정 직군의 급여는 동결되었습니다. 경찰, 소방, 공안직 공무원들의 급여 정책이 유지되며, 우정직 공무원 및 교원들의 봉급도 일정 부분 유지됩니다. 자세한 내용은 인사혁신처의 공식 발표 및 관련 자료를 참고하시기 바랍니다.
키워드: 공무원 월급표, 2021 공무원 봉급, 인사혁신처, 경찰공무원 봉급, 소방공무원 봉급, 공안직 공무원 봉급, 우정직 공무원 봉급, 교원 봉급, 교사 호봉표, 교육공무원 봉급
'공무원 봉급표 수당 규정 등' 카테고리의 다른 글
| 2021년 청원경찰 봉급표 2021 공안직 공무원 호봉표 (0) | 2021.03.11 |
|---|---|
| 교사 군인 경찰 교육 공무원 정년연장 65세 추진은 언제? 공무원 연금 수령나이에 맞춰 공무원 정년퇴직나이? (0) | 2020.12.28 |
| 2019년 일반직 공무원 봉급표 2019 대통령연봉 (0) | 2019.09.19 |
| 2019년 공무원 봉급표 2019 군인 월급 19년 교사 호봉표 (0) | 2019.09.16 |
| 석유화학주의 특징과 투자시 주의 사항 (0) | 2019.08.09 |