청원경찰은 엄밀하게 말하자면 경찰도 아니고 공무원 신분으로 보기도 애매하다.
물론 국가기관에 종사하는 청원경찰이 있지만 말이 좋아 청원경찰이지 경비나 다름없다.
물론 그래도 발전소 등에서 근무하는 청원경찰들은 사격훈련도 하곤 한다.
2019 청원 경찰 봉급표

청원경찰은 계급이 없다. 호봉표만 존재한다.
다만 마치 계급처럼 근속연수에 따라 15년 이상 23년 이상에 따라 급여가 점프하는 구조다.
그럼 도대체 15년 이상인데도 13호봉인 청원경찰은 뭘까?
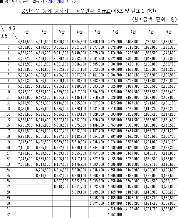
아래는 언뜻 비슷한 개념으로 보일 수 있는 2021 공안직 공무원 호봉표다.
공안직 공무원에는 철도경찰, 검찰 마약 수사관도 포함되지만 국회 경위 방호 경비, 국정원 직원 등도 공안 직렬 공무원이기 때문에 언뜻 청원경찰과 비슷해 보일 수 있지만, 다른 점이 더 많다.
공안 직렬 공무원은 비록 경비를 서고 있더라도 계급도 있고 경찰보다 급여도 많다.

아래는 참고용 2019년 청원 경찰 봉급표

아무튼 2019년 청원경찰 봉급표는 위와 같다.

여수, 광양항 경비 청원 경찰들이 사격훈련 중인 모습. 실탄 쏘는 걸까?
2019년 8월 26일 방송 서울메이트 3 이규한 편
한국 바비큐를 먹어보고 싶다는 메이트들의 위시리스트를 위해 한국적인 메뉴인 삼겹살로 첫 끼의 포문을 열었다.
서울메이트 3 이규항 삼겹살 식당은 한옥 콘셉트의 고깃집이다.
화덕에서 초벌구이 한 후, 솥뚜껑으로 고기를 구워 먹는 수 있는 고깃집.


솔직히 서울메이트에서 소개되는 식당들은 뭔가 또 다른 트루맛쇼 같은 느낌이다.
수십 년 송파에서 살았고 백제고분 근처의 회사에 몇 년을 다녔지만... 서울메이트 규한 편에 소개된 식당은 처음 봤다.
2016년 말까지 신천을 자주 나갔는데 못 본 곳이다 싶어서 조사해보니...
2017년 초에 생긴 듯하다.

신천 먹자골목 깊숙이 있는 곳인 듯하다.

불과 2년 만에 프랜차이즈로 전국구로 확장하고 있다니 궁금하긴 하다.
서울메이트 3 이규한 삼겹살 고깃집인 화덕 고깃간은 신천이 본점이고 마곡점에 이어 목포 점도 얼마 전에 오픈했다고 한다.

고기는 한돈을 쓴다니 맛은 보장된 것일 테고 보는 즐거움까지 겸비했으니 인기를 끄는 모양이다.

굳이 이렇게까지 해야 하나 싶긴 한데... 고기는 그냥 고기!

무쇠인 솥뚜껑에 굽는 고기는 진리.

화덕구이도 흔한 방식이고 솥뚜껑 삼겹살도 오래된 방식인데 합쳐놓으니 또 인기를 끄는 건가?
사울 메이트 화덕 고깃간
서울특별시 송파구 백제고분로 9길 23
지번주소 서울특별시 송파구 잠실동 191-5
서울메이트 규한 고깃집 가격
대표 삼겹살 13,000원
대표 화덕 고깃간 세트(2인분) 32,000원
특목 살 13,000원
항정살 14,000원
가브리살 13,000원
영업시간 매일 16:00 - 01:00
'공무원 봉급표 수당 규정 등' 카테고리의 다른 글
| 2024년 공무원 봉급 인상률 2024 공무원 봉급표 (0) | 2023.12.26 |
|---|---|
| 2023 경찰공무원 봉급표 경찰 계급체계 소방관 계급표 (0) | 2023.09.03 |
| 교사 군인 경찰 교육 공무원 정년연장 65세 추진은 언제? 공무원 연금 수령나이에 맞춰 공무원 정년퇴직나이? (0) | 2020.12.28 |
| 인사혁신처 2021년 공무원 월급표 2021 교원 교사 봉급표 집배원 교육 공안직공무원 호봉표 (0) | 2020.12.16 |
| 2019년 일반직 공무원 봉급표 2019 대통령연봉 (0) | 2019.09.19 |